Το βούλευμα -κόλαφο για τον επιχειρηματία Λαυρέντη Λαυρεντιάδη και άλλους τριάντα επιχειρηματίες-συνεργάτες του στην τράπεζα ή στις εταιρίες που δανειοδοτήθηκαν από την Proton Bank με 701.200.000 ευρώ αποκαλύπτει σήμερα το Βήμα. Πρόκειται για το βούλευμα με το οποίο απαγορεύτηκε η κίνηση όλων των λογαριασμών στις τράπεζες και κατασχέθηκαν τα ποσά που βρίσκονταν στις θυρίδες για τους: Λαυρ. Λαυρεντιάδη, Αντ. Αθανάσογλου, Αθ. Παπασπηλίου, Δημ. Σαραμάντη,Σμ. Λιαρμακοπούλου, Τρυφ. Κολλίντζα, Γραμ. Αρβανίτη, Πετρ. Κυριακίδη, Σοφ. Ρόβλη, Κων. Μπαλλή, Αντ. Ρογκόπουλο, Ιωάννα Τόρη, Νικολ. Κόρμπη, Ηλ. Μακρή, Κων. Μούτσο, Γ. Γεωργάρα, Κων. Χριστοδούλου, Άννα Παριανού, Νικ. Λινάρδου, Βασ. Γραβάνη, Στυλ. Κυμπαρίδη, Απ. Μελισσίδη, Αγγ. Παναγιωτίδου, Δημ. Βασιλόπουλου, Ανδρ. Μίχου, Αρμ. Βωβού, Αικατερίνη Παπαδοπούλου και Διον. Μπίθαρη.
Σύμφωνα με το βούλευμα από την προκαταρκτική εξέταση προέκυψε ότι κατά το διάστημα από τον Ιανουάριο του 2010 ως τον Ιανουάριο του 2011 ο Λαυρεντιάδης και οι άλλοι συνεργάτες του «με κοινό δόλο και εκμεταλλευόμενοι τη θέση τους στην Proton Bank χορήγησαν σε εταιρίες άμεσα ή έμμεσα ελεγχόμενες από τον Λ. Λαυρεντιάδη δάνεια εκατοντάδων εκατομμυρίων ευρώ (701 εκ.), χωρίς τις απαιτούμενες διασφαλίσεις, χωρίς εγγυήσεις και με εξαιρετικά υψηλό πιστωτικό κίνδυνο με συνέπεια να απειληθεί και υποστεί ζημιά η τράπεζα. Για να επιτύχουν τον σκοπό τους αυτόν ενεργώντας με δόλο απέκρυψαν απο τις εποπτικές αρχές και τους μετόχους της τράπεζας το γεγονός ότι τα χορηγούμενα δάνεια δίνονταν σε εταιρείες που συνδέονταν άμεσα ή έμμεσα με τον Λ. Λαυρεντιάδη, δηλαδή απέκρυπταν τον ενιαίο πιστωτικό κίνδυνο. Αυτό σημαίνει ότι οι εποπτικές αρχές και οι μέτοχοι θεωρούσαν ότι χορηγούσαν δάνεια τηρώντας το νομοκανονιστικό πλαίσιο του Ελληνικού Τραπεζικού Συστήματος.... Όμως, όπως προέκυψε, τα δάνεια χορηγούνταν προς εταιρίες που αποτελούν ομάδα συνδεδεμένων πελατών, άρα αντιπροσωπεύουν ενιαίο κίνδυνο, με πιστοδοτήσεις που δεν καλύπτονταν με άμεσα ρευστοποιήσιμα στοιχεία»...
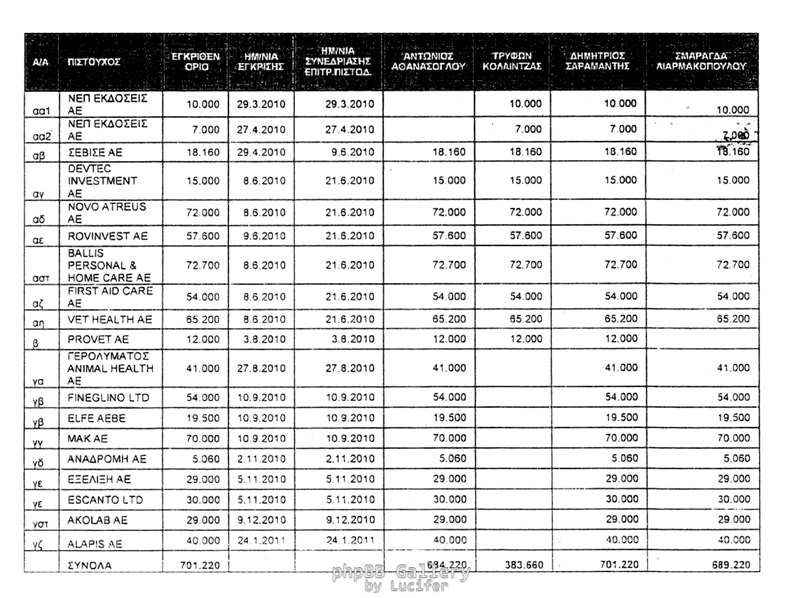
«...Οι θυγατρικές της Alapis Provet A.E, Alapis Medical and Diagnosticw AE, Γερολυμάτος Prestige AE, Γερολυμάτος Cosmetics ΑΕ, Beautyworks AE, Γερολυμάτος Animal Health AE,κ.λ.π. μεταβιβάστηκαν προς συνεργάτες του Λαυρ. Λαυρεντιάδη, που ήταν στελέχη του Ομίλου Alapis. Πολλοί από αυτούς ήταν μεταγενέστεροι μέτοχοι των εταιρειών, τις οποίες πούλησαν στον Όμιλο. Οι νέοι μέτοχοι δεν συνεισέφεραν με ίδια κεφάλαια στην αγορά των κλάδων και των θυγατρικών η οποία χρηματοδοτήθηκε από την τράπεζα... Μεγάλο μέρος των χορηγήσεων της Τράπεζας, δηλαδή ποσό 701.220.000 ευρώ διοχετεύθηκε σε επιχειρήσεις συμφερόντων Λαυρεντιάδη κατόπιν εγκρίσεων νέων πιστοδοτικών ορίων ή αύξησης πιστοδοτικών ορίων τις οποίες παρέσχαν υπό την ιδιότητα τους ως μέλη της Επιτροπής Πιστοδοτήσεων... »
Σύμφωνα με το βούλευμα «τα ποσά εγκρίθηκαν χωρίς αξιολόγηση του υψηλού πιστωτικού κινδύνου», ενώ υπάρχει παράρτημα και για δάνεια προς τις εταιρίες WGR Global Investements AE, WGR Universl Investments AE και Νεοχημική για τις οποίες «από τον έλεγχο της Τράπεζας της Ελλάδος διαπιστώθηκε ζημιά ύψους 191.000.000 ευρώ, η οποία προκύπτει ότι αμφισβητήθηκε από την Τράπεζα. Η πραγματική ζημιά, που απειλήθηκε κατά το κρίσιμο διάστημα ανέρχεται στο ποσό των 701 εκ. ευρώ...».
«Από ενημερωτικό σημείωμα της Τράπεζας της Ελλάδος (3-10-2011) προκύπτει επίσης ότι σε τέσσερις αποδέκτες ή ομάδες κατέληξαν μετρητά ή κατέθηκαν σε λογαριασμούς τους χωρίς αιτιολόγηση. Σε λογαριασμούς δυο αποδεκτών, μάλιστα, κατατέθηκαν μετρητά, χωρίς να προκύπτει ότι έχουν αναληφθεί από λογαριασμούς των ιδίων ή των εταιρειών τους. Τα ποσά, που αναλύονται με πίνακες εμφανίζονται να δίνονται σε δύο αποδέκτες και εταιρε ίες και είναι σύμφωνα με το βούλευμα ποσά 14.740.000 ευρώ και 5.400.000 ευρώ αντίστοιχα. Για τον Διον. Μπίθαρη αναφέρεται ότι από τις 25.11.2010 έως τις 24.3.2011 ανέλαβε μετρητά χωρίς αιτιολόγηση από χρηματοδοτήσεις της Proton με έκδοση 38 επιταγών μετρητά συνολικού ύψους 2.950.000 ευρώ χωρίς αιτιολόγηση. Επίσης κατά το διάστημα από 17.11.2010 μέχρι 23.12.2010 ανέλαβε μετρητά χωρίς αιτιολόγηση συνολικό ποσό 550.000 ευρώ από τα διαθέσιμα των εταιρειών του Ομίλου...
Ο Δημ. Βασιλόπουλος από τις 25.11.2010 έως τις 24.3.2011 ανέλαβε σε μετρητά ποσό 1.550.000 ευρώ, χωρίς αιτιολόγηση και οι αναλήψεις έγιναν με την έκδοση 19 επιταγών. και ο Ανδρέας Μίχος ανέλαβε μετρητά το ίδιο διάστημα, σύμφωνα με το βούλευμα».
Συμπερασματικά σύμφωνα με το κείμενο του βουλεύματος προκύπτει ότι:
«Κατόπιν σχεδίου "κατασκευάστηκαν" εταιρίες για να δεχτούν χωρίς εξασφαλίσεις και προσωπικές εγγυήσεις δάνεια από την παθούσα τράπεζα Proton bank με εξαπάτηση των εποπτικών αρχών και μετόχων, τα οποία στη συνέχεια ακολούθησαν μια διαδρομή πολυδαίδαλη μέσα από την μεταφορά τους από εταιρεία σε εταιρεία, ώστε να είναι απολύτως δυσχερής η παρακολούθηση τους από εποπτικές αρχές και ένα μεγάλο μέρος τους να εκταμιεύεται από πρόσωπα που εργάζονται στις επιχειρήσεις Λαυρεντιάδη. ή χρησιμοποιήθηκαν για εντελώς άλλους σκοπούς από αυτούς που δήθεν χορηγήθηκαν, δια του χρηματοπιστωτικού τομέα, με απώτερο σκοπό την ένταξη των "δανείων" στο οικονομικό σύστημα έχοντας αποκτήσει νομιμοφάνεια. Η διαδικασία νομιμοποίησης που ακολουθήθηκε περιελάμβανε την κατοχή, χρήση και διαχείριση του εγκληματικού προϊόντος, την απόκρυψη του και τη χρήση του χρηματοπιστωτικού τομέα».
Επίσης προκύπτουν σοβαρές ενδείξεις ότι η παραπάνω διαδικασία σχεδιάστηκε και εκτελέστηκε από «τα προαναφερόμενα άτομα, που έδρασαν στα πλαίσια οργανωμένης ομάδας, με συγκεκριμένους ρόλους».
